
Đề thi thử THPT Quốc gia 2017 môn toán – Phần 3
—————-
GỒM CÁC ĐỀ SAU:
. ĐỀ SỐ 11



















. ĐỀ SỐ 12































. ĐỀ SỐ 13 – TIÊN DU 1 – BẮC NINH






. ĐỀ SỐ 14 – NHO QUAN A






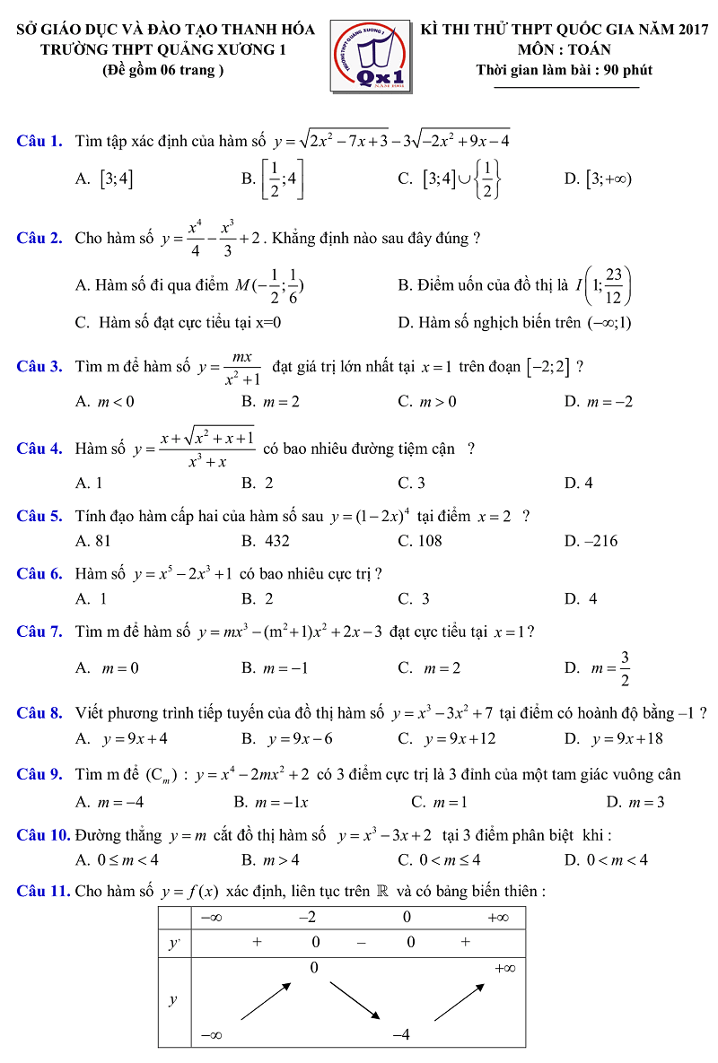
. ĐỀ SỐ 15 – QUẢNG XƯƠNG 1






Để lại một bình luận