Đề thi thử THPT Quốc gia 2017 môn toán – PHẦN 1
5 ĐỀ NÀY CÓ LỜI GIẢI CHI TIẾT
————
Gồm các đề sau:
. HƯNG YÊN LẦN 1

















. ĐỀ THI SỐ 2
















. ĐỀ TOÁN 1 MOON
















. ĐỀ 1 NGUYỄN THANH TÙNG



















. ĐỀ THI 5















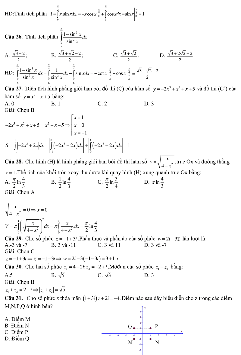
Để lại một bình luận