
Đề bài
I. Trắc nghiệm
Câu 1: Cho tam giác ABC với \(A\left( {5,1} \right);B\left( {0,2} \right);C\left( { – 3,0} \right)\). Đường cao AH của tam giác ABC có độ dài bằng:
A. \(13\) B. \(\sqrt {26} \)
C. \(\sqrt {13} \) D. \(26\)
Câu 2: Để đo khoảng cách giữa hai cây được trồng ở hai vị trí A, B cách nhau một con sông mà không muốn qua sông, người ta thực hiện như sau: Chọn một vị trí C cùng bờ với A, cách A một khoảng là AC = 200m. Đứng ở vị trí A dùng giác kế đo được góc BAC = 360, sau đó đứng ở vị trí C, dùng giác kế đo được góc ACB = 800. Khi đó, khoảng cách AB (làm tròn đến chữ số thập phân số hai) là:
A. \(217,36\) B. \(219,14\)
C. \(220,02\) D. \(218,44\)
Câu 3: Cho bất phương trình \(3x + y \le 5\) và đường thẳng \(\left( \Delta \right):3x + y = 5\). Kết luận nào sau đây đúng ?
A. Miền nghiệm của bất phương trình là nửa mặt phẳng kể cả bờ \(\left( \Delta \right)\)chứa \(O\left( {0,0} \right)\)
B. Miền nghiệm của bất phương trình là tất cả các điểm nằm trong mặt phẳng Oxy
C. Miền nghiệm của bất phương trình là nửa mặt phẳng không kể bờ \(\left( \Delta \right)\)không chứa \(O\left( {0,0} \right)\)
D. Miền nghiệm của bất phương trình là tất cả các điểm có hoành độ và tung độ đều dương
Câu 4: Cặp số \(\left( {2, – 3} \right)\) là nghiệm của bất phương trình nào sau đây?
A. \(4x + 2y + 3 > 0\)
B. \(4x + 2y – 2 < 0\)
C. \(5x + y \le 0\)
D. \(x + 2y + 1 \ge 0\)
Câu 5: Chọn câu sai trong các câu sau:
A. \(\cos \left( { – \alpha } \right) = \cos \alpha \)
B. \(\sin \left( {\pi – \alpha } \right) = \sin \alpha \)
C. \(\tan \left( {\dfrac{\pi }{2} – \alpha } \right) = \cot \alpha \)
D. \(\sin \left( {\pi + \alpha } \right) = \sin \alpha \)
Câu 6: Tập nghiệm của hệ bất phương trình \(\left\{ \begin{array}{l}9x – 12 \ge 6x + 15\\19 – 3x < 7 + x\end{array} \right.\)là:
A. \(T = \left( {3,9} \right]\)
B. \(T = \left( { – \infty ,9} \right)\)
C. \(T = \left[ {9, + \infty } \right)\)
D. \(T = \left( {3, + \infty } \right)\)
Câu 7: Thu gọn biểu thức \(B = \dfrac{{\sin \alpha – 3\sin 2\alpha + \sin 3\alpha }}{{\cos \alpha – 3\cos 2\alpha + \cos 3\alpha }}\), ta được:
A. \(B = \sin 2\alpha \)
B. \(B = \cos \alpha \)
C. \(B = \tan 2\alpha \)
D. \(B = \tan 3\alpha \)
Câu 8: Phương trình tiếp tuyến của đường tròn \(\left( C \right):{x^2} + {y^2} – 2x – 8y – 8 = 0\) tại điểm \(M\left( {4,0} \right)\) là:
A. \(3x – 4y – 12 = 0\)
B. \(3x – 4y + 12 = 0\)
C. \(3x – 4y = 0\)
D. \(4x – 3y – 12 = 0\)
Câu 9: Độ dài trục lớn của elip \(\dfrac{{{x^2}}}{{16}} + \dfrac{{{y^2}}}{9} = 1\) bằng:
A. \(8\) B. \(1\)
C. \(6\) D. \(\sqrt 7 \)
Câu 10: Gọi (S) là tập các điểm \(\left( {x,y} \right)\) thỏa mãn hệ bất phương trình \(\left\{ \begin{array}{l}2x – y \le 2\\x – 2y \ge – 2\\x + y \ge – 2\end{array} \right.\) . Giá trị nhỏ nhất của \(F\left( {x;y} \right) = 2x + 3y\) là:
A. \( – 6\) B. \( – 4\)
C. \( – 8\) D. \(10\)
Câu 11: Cho \(\sin \alpha = \dfrac{1}{3},0 < \alpha < \dfrac{\pi }{2}\). Giá trị của \(\cos \left( {\dfrac{\pi }{3} + \alpha } \right)\) là:
A. \(\dfrac{{ – 2\sqrt 2 + \sqrt 3 }}{6}\) B. \(\dfrac{{2\sqrt 2 – \sqrt 3 }}{6}\)
C. \(\dfrac{{2\sqrt 2 + \sqrt 3 }}{6}\) D. \(\dfrac{{ – 2\sqrt 2 – \sqrt 3 }}{6}\)
Câu 12: Tập hợp nào sau đây là tập con của tập nghiệm bất phương trình \({x^2} – 4 < 0\)?
A. \(\left( {1,4} \right]\) B. \(\left[ { – 1,1} \right]\)
C. \(\left( {2,3} \right)\) D. \(\left[ { – 4,0} \right)\)
Câu 13: Bất phương trình nào sau đây tương đương với bất phương trình \(x < – 4\)?
A. \({x^2} < 16\) B. \({x^2} < – 4x\)
C. \( – 3x < 12\) D. \(x + {x^2} < {x^2} – 4\)
Câu 14: Thu gọn biểu thức \(M = {\left( {\sin \alpha – \cos \alpha } \right)^2} \)\(\,+ {\left( {\sin \alpha + \cos \alpha } \right)^2} + \cos 2\alpha \), ta được:
A. M = \(\sin 2\alpha \)
B. M = \(2{\cos ^2}\alpha + 1\)
C. M = \(\cos 2\alpha \)
D. M = 2
Câu 15: Hệ bất phương trình \(\left\{ \begin{array}{l}{x^2} + 2x – 3 > x\left( {x – 1} \right)\\4x + 1 \le m\end{array} \right.\) vô nghiệm khi tham số m thỏa điều kiện nào sau đây?
A. \(m \le 5\) B. \(m > 0\)
C. \(m > 5\) D. \(m \ne 5\)
Câu 16: Cho \(\tan \alpha = 3\), giá trị của biểu thức \(A = \dfrac{{2\sin \alpha + \cos \alpha }}{{\cos \alpha – 3\sin \alpha }}\) là:
A. \(A = – \dfrac{5}{6}\)
B. \(A = \dfrac{2}{3}\)
C. \(A = – \dfrac{7}{8}\)
D. \(A = \dfrac{7}{{10}}\)
Câu 17: Với giá trị nào của tham số m thì hai đường thẳng \(\left( d \right):\left( {{m^2} – 3} \right)x + y + m = 0\) và \(\left( {d’} \right):x + y – 2 = 0\) song song với nhau?
A. \(\forall m \in \mathbb{R}\) B. \(m = 2\)
C. \(m = – 2\) D. \(m = 2 \vee m = – 2\)
Câu 18: Vectơ nào sau đây là một vectơ chỉ phương của đường thẳng \(\left( d \right):\left\{ \begin{array}{l}x = 1 – 2t\\y = – 2 + 3t\end{array} \right.\)?
A. \(\overrightarrow u = \left( {1, – 2} \right)\)
B. \(\overrightarrow u = \left( {2,3} \right)\)
C. \(\overrightarrow u = \left( {4, – 6} \right)\)
D. \(\overrightarrow u = \left( {3, – 2} \right)\)
Câu 19: Tọa độ các giao điểm giữa đường thẳng \(x + 2y = 5\) và đường tròn \({\left( {x – 2} \right)^2} + {\left( {y + 1} \right)^2} = 10\) là:
A. \(A\left( {1, – 1} \right);B\left( {5,0} \right)\)
B. \(A\left( { – 1, – 2} \right);B\left( {0,5} \right)\)
C. \(A\left( {0,2} \right);B\left( {5, – 3} \right)\)
D. \(A\left( {1,2} \right);B\left( {5,0} \right)\)
Câu 20: Cho tam giác ABC có \(a = 7,b = 8,c = 5\). Độ dài trung tuyến ma bằng:
A. \(129\) B. \(\dfrac{{129}}{4}\)
C. \(\sqrt {129} \) D. \(\dfrac{{\sqrt {129} }}{2}\)
Câu 21: Điều kiện xác định của bất phương trình \(\dfrac{2}{{x – 3}} > 1\) là:
A. \(x \ne – 3\) B. \(x \ne 3\)
C. \(\forall x \in \mathbb{R}\) D. \(x \ne 0\)
Câu 22: Phương trình elip có độ dài trục lớn bằng 10 và tiêu cự bằng 6 là:
A. \(\dfrac{{{x^2}}}{{25}} + \dfrac{{{y^2}}}{{16}} = 1\) B. \(\dfrac{{{x^2}}}{{16}} + \dfrac{{{y^2}}}{9} = 1\)
C. \(\dfrac{{{x^2}}}{{100}} + \dfrac{{{y^2}}}{{36}} = 1\) D. \(\dfrac{{{x^2}}}{{25}} + \dfrac{{{y^2}}}{9} = 1\)
Câu 23: Với các giá trị nào của tham số m thì hàm số \(y = \sqrt {\left( {m – 1} \right){x^2} – \left( {m – 1} \right)x + 2m + 1} \) có tập xác định là \(D = \mathbb{R}\)?
A. \(\forall m \in \mathbb{R}\) B. \(m \ge 1\)
C. \(m \ne 1\) D. \(m > 1\)
Câu 24: Phương trình tham số đường thẳng đi qua điểm \(M\left( {3, – 2} \right)\)và song song với đường thẳng \(\left( d \right):\left\{ \begin{array}{l}x = 2 – 5t\\y = – 2t\end{array} \right.\) là:
A. \(\left( {d’} \right):\left\{ \begin{array}{l}x = 3 – 5t\\y = – 2 – 2t\end{array} \right.\)
B. \(\left( {d’} \right):\left\{ \begin{array}{l}x = – 2 – 5t\\y = 3 – 2t\end{array} \right.\)
C. \(\left( {d’} \right):\left\{ \begin{array}{l}x = 3 – 2t\\y = – 2 – 5t\end{array} \right.\)
D. \(\left( {d’} \right):\left\{ \begin{array}{l}x = 5t\\y = 2t\end{array} \right.\)
Câu 25: Tập nghiệm nguyên của hệ bất phương trình \(\left\{ \begin{array}{l}2\left( {x + 5} \right) – 4 > 0\\{\left( {x – 1} \right)^2} + 4 \ge x\left( {x + 3} \right)\end{array} \right.\) là:
A. \(\left\{ { – 3, – 2, – 1} \right\}\)
B. \(\left\{ {0,1} \right\}\)
C. \(\left\{ { – 1,0,1} \right\}\)
D. \(\left\{ { – 2, – 1,0,1} \right\}\)
Câu 26: Nghiệm của bất phương trình \(\sqrt {{x^2} – x – 1} > \sqrt {x – 1} \) là:
A. \(x < 0\) B. \(x > 2\)
C. \(x \ge 1\) D. \(1 \le x < 2\)
Câu 27: Phương trình nào sau đây không là phương trình của một đường tròn?
A. \({x^2} + 2{y^2} – x + y – 1 = 0\)
B. \({x^2} + {y^2} – 4x + y – 2 = 0\)
C. \(3{x^2} + 3{y^2} – 6x + 9y = 0\)
D. \({x^2} + {y^2} = 3\)
Câu 28: Nghiệm của bất phương trình \(\left| {3x + 2} \right| \ge 4\) là:
A. \(x \le – 1\)hoặc \(x \ge 0\)
B. \(x \ge \dfrac{1}{2}\)
C. \(x \le 0\)
D. \(x \le – 2\)hoặc \(x \ge \dfrac{2}{3}\)
Câu 29: Cho tam giác ABC có diện tích là S, hãy chọn đáp án đúng :
A. \(S = \dfrac{{abc}}{R}\)
B. \(S = p\left( {p – a} \right)\left( {p – b} \right)\left( {p – c} \right)\)
C. \(S = \dfrac{p}{r}\)
D. \(S = \dfrac{1}{2}ac\sin B\)
Câu 30: Nếu một tam giác có độ dài của ba cạnh lần lượt là 3; 4; 5 thì bán kính đường tròn nội tiếp bằng:
A. 2 B. \(\sqrt 3 \)
C. 1 D. \(\dfrac{5}{2}\)
Câu 31: Tập nghiệm của bất phương trình \(\left( {1 – x} \right)\left( {{x^2} – 4x + 4} \right) \ge 0\) là:
A. \(\left( { – \infty ,1} \right] \cup \left\{ 2 \right\}\) B. \(\left( { – \infty ,2} \right]\)
C. \(\left( { – \infty ,1} \right)\) D. \(\left( { – \infty ,1} \right]\)
Câu 32: Đường tròn \(\left( C \right):{\left( {x – 1} \right)^2} + {\left( {y + 3} \right)^2} = 9\)có tọa độ tâm I và bán kính R là:
A. \(I\left( { – 1,3} \right),R = 9\)
B. \(I\left( { – 1,3} \right),R = 3\)
C. \(I\left( {1, – 3} \right),R = 9\)
D. \(I\left( {1, – 3} \right),R = 3\)
Câu 33: Cho tam giác ABC có\(\widehat A = {120^0},BC = 13,AB + AC = 15\). Khi đó \(A{B^2} + A{C^2}\) bằng:
A. 113 B. 225
C. 56 D. 394
Câu 34: Cho \(\cos \alpha – \sin \alpha = m\). Giá trị của \(\cos 4\alpha \) được tính theo m là:
A. \({m^2} – 1\)
B. \( – 2{m^4} + 1\)
C. \( – 2{m^4} + 4{m^2} – 1\)
D. \( – 2{m^2} – 1\)
Câu 35: Góc có số đo \(\dfrac{{3\pi }}{5}\)rad đổi sang độ là:
A. \({100^0}\) B. \({72^0}\)
C. \({108^0}\) D. \({60^0}\)
II. Tự luận
Câu 1 (1,0 điểm). Giải bất phương trình sau: \(\dfrac{{x – 2}}{{{x^2} – 4x + 3}} \ge 0\)
Câu 2 (1,0 điểm). Viết phương trình đường tròn tâm \(I\left( {6,1} \right)\) và tiếp xúc với đường thẳng \(\left( \Delta \right):x + 2y – 3 = 0\)
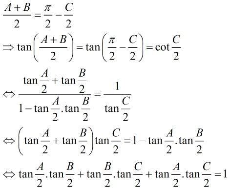
Câu 3 (1,0 điểm). Cho tam giác ABC. Chứng minh rằng:
\(\tan \dfrac{A}{2}.\tan \dfrac{B}{2} + \tan \dfrac{B}{2}.\tan \dfrac{C}{2} \)\(\,+ \tan \dfrac{A}{2}.\tan \dfrac{C}{2} = 1\;\)
Lời giải chi tiết
I. Trắc nghiệm:
| 1 | 2 | 3 | 4 | 5 |
| C | B | A | A | D |
| 6 | 7 | 8 | 9 | 10 |
| C | C | A | A | A |
| 11 | 12 | 13 | 14 | 15 |
| B | B | D | B | A |
| 16 | 17 | 18 | 19 | 20 |
| C | B | C | D | D |
| 21 | 22 | 23 | 24 | 25 |
| B | A | B | A | D |
| 26 | 27 | 28 | 29 | 30 |
| B | A | D | D | C |
| 31 | 32 | 33 | 34 | 35 |
| A | D | A | C | C |
II. Tự luận:
Câu 1: ĐK:\(x \ne 1,x \ne 3\)
\(x – 2 = 0 \Leftrightarrow x = 2;{x^2} – 4x + 3 = 0\)
\(\Leftrightarrow x = 1 \vee x = 3\)
Bảng xét dấu:

Vậy: \(T = \left( {1,2} \right] \cup \left( {3, + \infty } \right)\)
Câu 2: Ta có: bán kính \(R = d\left[ {I,\left( \Delta \right)} \right] = \dfrac{{\left| {6 + 2 – 3} \right|}}{{\sqrt {{1^2} + {2^2}} }} = \sqrt 5 \)
Phương trình đường tròn là: \({\left( {x – 6} \right)^2} + {\left( {y – 1} \right)^2} = 5\)
Câu 3:
Ta có:


Để lại một bình luận